流式細胞術
項目介紹
流式細胞術(FCM)是一種對處在快速流動中的細胞或其它生物微粒逐個進行多參數的快速定量分析和分選的技術。它集計算機技術、激光技術、流體力學、熒光標記技術、單克隆抗體技術、細胞免疫學于一體,按照細胞或生物顆粒的物理或化學性質,同時具有分析和分選細胞或生物顆粒的功能。項目優勢
● 快速,最高每秒可測數萬個細胞● 靈敏度高,可檢測弱抗原表達
● 抗原表達特異性較高
● 可進行單細胞多參數分析,同一試管中可同時檢測多種抗原
項目領域
免疫學:流式細胞術可以用于研究細胞周期或DNA倍體與細胞表面受體及抗原表達的關系;進行免疫活性細胞的分型與純化;分析淋巴細胞亞群與疾病的關系;免疫缺陷病如艾滋病的診斷;器官移植后的免疫學監測等。細胞生物學:流式細胞術可用于定量分析細胞周期并分選不同細胞周期時相的細胞;分析生物大分子如DNA、RNA、抗原、癌基因表達產物等物質與細胞增殖周期的關系,進行染色體核型分析,并可純化X或Y染色體。
腫瘤學:流式細胞術可以根據DNA倍體含量測定鑒別良、惡性腫瘤的特異指標;DNA倍體測定技術,可以對白血病、淋巴瘤及肺癌、膀胱癌、前列腺癌等多種實體瘤細胞進行探測;用單克降抗體技術清除血液中的腫瘤細胞。
血液學:流式細胞術可用于血液細胞的分類、分型,造血細胞分化的研究,血細胞中各種酶的定量分析,如過氧化物酶、非特異性酯酶等;用NBT及DNA雙染色法可研究白血病細胞分化成熟與細胞增殖周期變化的關系,檢測母體血液中Rh factor或抗D抗原陽性細胞,以了解胎兒是否可能因Rh血型不合而發生嚴重溶血;檢測血液中循環免疫復合物可以診斷自身免疫性疾病,如紅斑狼瘡等。
藥物學:流式細胞術可以檢測藥物在細胞中的分布,研究藥的作用機制,亦可用于篩選新藥,如化療藥物對腫瘤的凋亡機制,可通過測DNA凋亡峰,Bcl-2凋亡調節蛋白等。
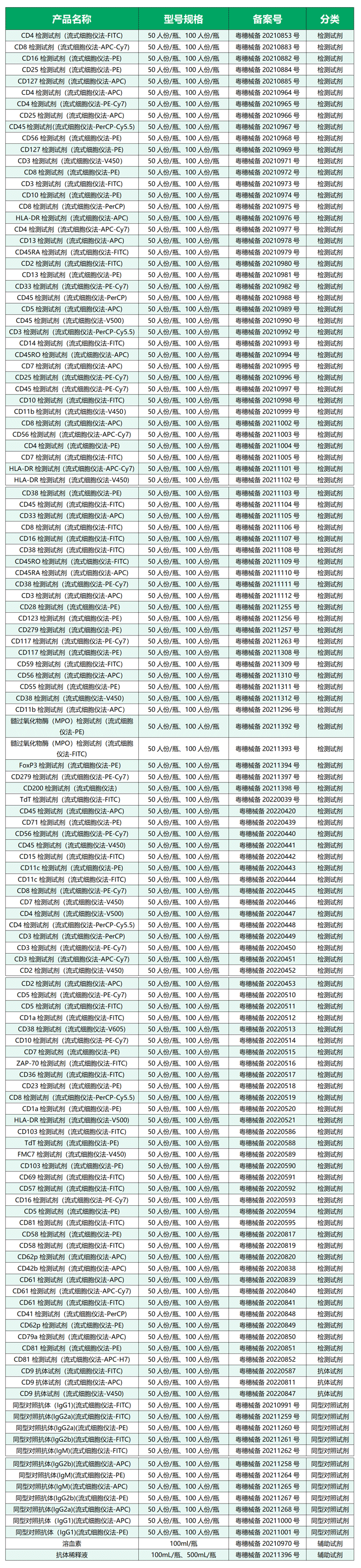
產品信息
